Santiago José Guevara-Martínez1 y Mary Keiby Hernández Trejo2
- Centro de Investigaciones en Ciencias Químicas y Nanomateriales, Universidad de Guadalajara, Jalisco, México.
sj.guemtz.89@gmail.com - Universidad de Especialidades, Guadalajara, Jalisco, México. keibytrejo066@gmail.com
Cite este artículo así:
APA: Guevara-Martínez, S. Hernández-Trejo, M. (2022). Almidón Nativo como Fuente de Obtención de Bioplásticos. Quimiofilia, 1, (1) 13-15.
DOI: https://doi.org/10.56604/qfla2022111315
JACS: Guevara-Martínez, S. Hernández-Trejo, M..
Quimiofilia, 2022, 1, 1, 13-15
DO: https://doi.org/10.56604/qfla2022111315
DOI: https://doi.org/10.56604/qfla2022111010
Recibido: junio 29, 2022
Aceptado: julio 07, 2022
Publicado: agosto 11, 2022
www.quimiofilia.com
ISSN: 2683-2364
Registro IMPI: 2052060 QUIMIOFILIA
Reserva de derechos al uso exclusivo 2022:
04-2019-062013201300-203
Resumen
El almidón como carbohidrato puede ser extraído de semillas o fibras las cuales son
un residuo agroindustrial producido de forma amplia en nuestro país, la obtención
de este biomaterial permite desarrollar diversos mecanismos de síntesis reforzada
como lo es la acetilación del almidón, logrando así generar bioplásticos con caracte
rísticas y funcionalidades distintas, aportando alternativas ecológicas para el apro
vechamiento de desechos de origen natural procedentes de fuentes renovables, pre
sentando una mayor biodegradación y sustentabilidad ambiental. Estos disminuyen
la utilidad de materiales de origen pétreo y reducen la problemática que producen en el medio ambiente los residuos plásticos.
La síntesis y obtención del plástico sintético ha tomado gran importancia en las múltiples industrias desde hace décadas, los plásticos se pueden encontrar en formas y funciones variadas, con características únicas y específicas. Dichos recursos se obtienen a partir de hidrocarburos tales como el petróleo que aporta cualidades como lo es termorresistencia, elasticidad, flexibilidad, entre otras. El consumo masivo de este recurso ha originado una exorbitante cantidad de contaminación ocasionada por la acumulación del mismo en diversos ecosistemas, por tanto es de suma importancia el apoyo a la investigación de iniciativas con propósitos ecológicos los cuales mejoran con innovación e ingenio los procesos industriales en pro de una ciencia más verde.1,2 La aceleración en el aprovechamiento de todas estas posibilidades tecnológicas emerge como salvavidas de la humanidad siendo indispensable para los futuros procesos.
La formulación de un polímero es dependiente del monómero que se utiliza, el mecanismo de obtención puede dar origen a dos tipos principales de plásticos: termoestables y termoplásticos. Un polímero termoplástico será aquel que pueda formar un plástico volviéndose manejable a temperaturas elevadas, mientras que, un polímero termo estable se forma por medio de una reacción química con temperaturas altas, debido a esto en el punto de formación es irreversible el cambio. Gracias a sus características moleculares y de enlace el plástico proveniente de un polímero sintético cuenta con un índice de de gradación muy alto colocándolo como uno de los principales contaminantes globales.3,4
Una de las ideas más revolucionarias como solución a esta problemática es la creación de biopolímeros óptimos para utilizar como materia prima ya que, su degradación se lleva a cabo en lap sos de tiempo más reducidos, representando una forma de aprovechamiento factible de todos aquellos desechos provenientes de procesos agroindustriales variables. Estos métodos aplican ciencia con el propósito de dar solución a las problemáticas de contaminación y desaprovechamiento de recursos, se busca generar un cambio en la forma de procesar plástico con ideales tales como la sustentabilidad de producción a gran escala, un menor tiempo de vida media y una mayor biodegradación.4,5
¿Qué es un bioplástico? Es aquel material manipulado con técnicas de síntesis en las cuales se implementan polímeros de la naturaleza como lo es la lignina, celulosa, quitina o el almidón, para después ser modificados por medio de distintos mecanismos. Cada recurso necesita un tratamiento específico seleccionado acorde al bioplástico que se desea obtener y la utilidad para la cual está destinado. Al ser biopolímeros la degradación de sus componentes a un nivel molecular puede obtenerse gracias a procesos metabólicos de diferentes microorganismos presentes en el medio ambiente. Un ejemplo de biopolímero es el uso del almidón nativo ubicado en distintas plantas. El almidón mantiene estructural mente gránulos formados por amilosa y amilopectina las cuales son macromoléculas que tienen como unidad principal la molécula de glucosa (una aldohexosa), unidas por enlaces α-1,4 glucosídicos, su nivel de organización mantiene ramificaciones que permi ten crear reacciones de polimerización lineal. Esta cualidad es la que permite crear películas o fibras que en contacto con algún plastificante forman un bioplástico.6
Se han explorado diferentes fuentes de almidón nativo, ejemplo de ello es el almidón de semilla de arroz (Figura 1-a); almidón de fécula de maíz (Figura 1-b); almidón de semilla de trigo (Figura 1- c); almidón de papa (Figura 1-d); incluso de algas. Obteniendo resultados satisfactorios en la producción de la película, así como en las características físicas y niveles de degradación.

El proceso que se implementó inicia con la elección de una materia prima que en su composición mantenga un porcentaje significativo del carbohidrato, para la obtención del almidón nativo se implementa la semilla de aguacate la cual es obtenida a partir de los desechos generados por las industrias alimentarias, posterior mente se realiza un pre-tratamiento que consiste en triturar hasta obtener tamaños de partícula pequeños, secar, moler y tamizar el polvo obtenido. Debido a que el contenido de la muestra mantiene diversos componentes es de suma importancia lograr separar el almidón de todo aquello que no se necesita como lo son aceites, esto se logra realizando una purificación para una extracción so lido-liquido utilizando el equipo soxhlet aislando las sustancias de baja solubilidad en el disolvente de extracción, la implementación de esta técnica es una de las más adecuadas ya que, es eficiente y de bajo costo, además como el solvente se utiliza en su totalidad la contaminación por usos excesivos se ve reducida significativa mente. En virtud de las características apolares del almidón es necesario utilizar un medio con polaridad similar logrando así, una separación de los aceites que pueda contener los cuales pueden originar un biopolímero de baja calidad.7
Utilizar el almidón como único componente genera películas frágil les por ende es importante reforzar la estructura polimérica, para ello se incorporan al proceso aditivos sintéticos los cuales aportan estabilidad molecular, recordando que las características de un plástico son resultado de las fuerzas intermoleculares de enlace e interacciones presentes en la estructura.7,8
Para el proceso en cuestión se utiliza como aditivos plastificantes que pueden ser implementados en mezclas de glicerol, quitosano o hidroxietilcelulosa. Este último mejor conocido como celocell, repre senta un buen candidato, útil en procesos amigables con el medio ambiente (Figura 2), es una alternativa favorecedora por sus cualidades de biocompatibilidad al ser biodegradable, no tóxico, hidrofílico, no iónico y soluble en agua.

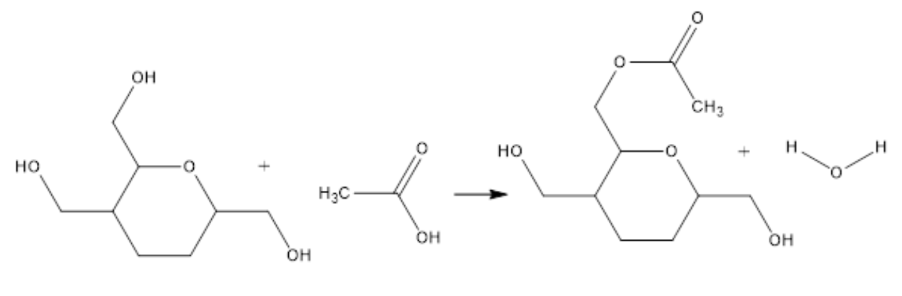
La modificación de almidón ha sido estudiada por diversas técnicas una de las más importantes es por acetilación,8 se obtiene por el proceso de entrecruzamiento Di-éster, o esterificación con grupos acilos, incorporando grupos acetilos en la molécula de almidón (Esquema 1), es importante destacar que el éxito del proceso depende de la fuente de almidón, la concentración del reactivo, el tiempo de reacción, pH y la presencia de algún tipo de catalizador o plastificante que puede brindar mayor estabilidad y formación de biopelículas con características óptimas en degradación.

Conclusión
Se logran generar películas plásticas flexibles utilizando almidón de distintas semillas y fibras como materia prima de partida, este es de origen natural procedente de fuentes renovables y en condiciones ambiente se degradan con mayor rapidez teniendo como resultado una diferencia contrastante en comparación al periodo de cientos de años que tarda un plástico sintético en degradarse. El desarrollo de los biopolímeros se ha incrementado en la última dé cada, siendo comercializados aquellos realizados a partir de la se milla de aguacate, nopal, bagazo de trigo, papa o yuca, sin embargo, es una iniciativa sustentable aprovechar mayormente aquellos desechos orgánicos generados por diversos sectores agroindustriales. Se espera que estos proyectos sean impulsados y sustituyan de manera progresiva el uso descomunal de materiales de origen pétreo, exigiendo a la ciencia novedosas metodologías cada vez más ecológicas y sustentables.
- 1. Emadian, S.; Onay, T.; Demirel, B. Biodegradation of bioplastics in natural environments. Waste management New York, N.Y., 2017. 59, 526–536.
- Chen, Z.; Zheng, Z.; He, C.; Liu, J.; Zhang, R.; Chen, Q. Oily sludge treatment in subcritical and supercritical water: A review. Journal of hazardous materials, 2022, 433, 128761.
- Atiwesh, G.; Mikhael, A.; Parrish, C.; Banoub, J.; Le, T. Environmental impact
of bioplastic use: A review. Heliyon, 2021. 7, 9, e07918 - Hamidi, Y.; Ataei, S.; Sarrafi, A. Simple, fast and low-cost method for the efficient separation of hydrocarbons from oily sludge. Journal of hazardous materials, 2021. 413, 125328.
- Brydson J. En: Plastics Materials. seventh ed. Brydson J. Plastics materials: introduction and historical development; Elsevier; Amsterdam: 1999. pp. 1–18.
- Tsang, Y. F., Kumar, V., Samadar, P., Yang, Y., Lee, J., Ok, Y. S., Song, H.,
Kim, K. H., Kwon, E. E., & Jeon, Y. J. Production of bioplastic through food
waste valorization. Environment international, 2019. 127, 625–644. - Melchor-Martínez, E.; Macías-Garbett, R.; Alvarado-Ramírez, L.; Araújo, R.; Sosa-Hernández, J.; Ramírez-Gamboa, D.; Parra-Arroyo, L.; Alvarez, A.; Monteverde, R.; Cazares, K.; Reyes-Mayer, A.; Yáñez Lino, M.; Iqbal, H.; Parra Saldívar, R.; Towards a Circular Economy of Plastics: An Evaluation of the Systematic Transition to a New Generation of Bioplastics. Polymers, 2022. 14, 6, 1203.
- Noreen, A.; Zia, K.; Tabasum, S.; Khalid, S.; Shareef, R. A review on grafting of hydroxyethylcellulose for versatile applications. International journal of biological macromolecules, 2020. 150, 289–303.
